【晶振】石英晶体参数及晶振电路
发布日期:2019-12-23
点击次数:821
1、 激励功率( Drive Level )
晶体的激励功率是指晶体正常振荡时最大的消耗功率,一般是以微瓦(uw)表示。振荡电路必须提供足够的驱动功率来补偿晶体在共振时的机械能损失。振荡电路若提供过高的激励功率, 会使晶体的非线性特性变化, 进而可能造成振荡频率FL不稳定及等效阻抗ESR的过度变化。
晶体的规格书中一般会给出激励功率的最大值,如10uw。这并不是说晶体能承受的最大激励功率是10uw,而是晶体最大只需要10uw的激励功率就能维持正常振荡工作了,晶体可以承受比10uw大的多的激励功率。
根据协议标准,晶体能够承受的激励功率在1mw之内,在设计晶振电路时,应检查IC的激励功率,若IC的激励功率大于1mw,则电路中需要增加限流电阻;若小于1mw,则不需要加限流电阻。现在IC的激励功率也是越做越小,一般都不会大于1mw。
上机测试的时候,可以用示波器检测芯片XTALIN和XTALOUT两个引脚的波形,如果检测到一个非常清晰的正弦波,并且正弦波的上限值和下限值都符合芯片输入要求,则晶体未被过分驱动;如果正弦波的波峰、波谷两端被削平,则有可能是晶体被过驱了,此时可以在XTALOUT串上电阻Rs来防止被过分驱动,如下图所示。
2、频率迁移( Trim Sensitivity )
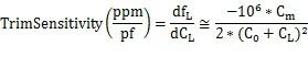
频率迁移TS反映了负载电容的容值变化对晶体的谐振频率偏移影响的大小。一般晶体的规格书中都会给出TS参数
晶体的设计工艺一旦确定,TS基本稳定。关于TS的大小,可根据设计灵活选择,对于频率精度要求高的设计,应当选取较小的TS值。
TS是用来衡量频率变化率和负载电容CL关系的量。在并联谐振区内,TS越大,则频率随CL变化的变化越大;TS越小,则频率随CL变化的变化越小。我们一般认定对一个固定的晶体来说,TS值就是固定不变的。但TS这个参数是在CL一定的情况下确定的,比如晶体的标称为CL=15pF,TS=20PPM/PF:就是说在负载电容为15pF的条件下,TS值是20PPM/PF;若CL变化,则TS也变化。CL越小,TS越大;也就是说,在CL小于15pF的情况下,TS的值会大于20PPM/PF。
3、 其他参数
品质因数Q:对于石英晶体,品质因数Q是很重要的一个参数。Q值越高,表示晶体损耗小,晶体工作稳定。晶体的品质因数通常都很高,在几十万甚至几百万以上。
DLD2:指晶体在不同激励功率下的最大与最小谐振阻抗的差值。行业要求一般控制在8欧姆以下,其值越小越好。若DLD2的值过高,会出现时振时不振现象。
RLD2:指晶体在不同激励功率下的最大谐振阻抗值,其最大值一般要求与晶体的ESR一致。
FDLD:指晶体在不同激励功率下的最大与最小串联谐振频率的差值,其值越小越好。若FDLD的值过高,也会出现时振时不振现象。
SPDB:在指定频率范围内,用12.5Ω测试座测量时,寄生振荡相较于主振点之间振幅差值,单位用dB表示,其值越小越好。
SPFR:在指定频率范围内,寄生振荡频率,单位用PPM表示,其值越小越好。
SPUR:在指定频率范围内,量测出的最小寄生振荡电阻,单位用Ω表示,其值越小越好
深圳市晶友嘉电子有限公司在频率器件行业已发展超过14年, 具备国际标准体系ISO9001、ISO14001等认证, 在深圳建有生产基地,能快速化响应市场需求,供应性能稳定和高性价比的贴片和插件晶振;
贴片晶振产品广泛的应用在电源管理、仪器仪表、PC及周边小家电、通讯产品、逻辑电路、应用于DVB (数字机顶盒)、GPS(卫星定位)、DVD及数码相框、高性能MODEM、路由器、VPN接入服务器、无线路由器、网络存储设备(NAS)、VOIP网关、数字硬盘录像机(Digital video recorder, DVR)、DSLAMs、高端打印机、教学演示网络设备、交换机、机顶盒、税控机、液晶显示驱动、鼠标、键盘、蓝牙音响、车载MP3、LCD控制板。
应用领域:新能源汽车电子、智能机器人、无人机、医疗电子、2.4G无线通讯、微波通信、光网络通讯、蓝牙、移动终端、物联网、工业控制、及安防行业都取得一定的市场占有率。
晶友嘉是晶振生产供应一体化工厂,满足您的所有晶振产品需求,电话:0755-32840201,欢迎来厂莅临指导。
贴片晶振产品广泛的应用在电源管理、仪器仪表、PC及周边小家电、通讯产品、逻辑电路、应用于DVB (数字机顶盒)、GPS(卫星定位)、DVD及数码相框、高性能MODEM、路由器、VPN接入服务器、无线路由器、网络存储设备(NAS)、VOIP网关、数字硬盘录像机(Digital video recorder, DVR)、DSLAMs、高端打印机、教学演示网络设备、交换机、机顶盒、税控机、液晶显示驱动、鼠标、键盘、蓝牙音响、车载MP3、LCD控制板。
应用领域:新能源汽车电子、智能机器人、无人机、医疗电子、2.4G无线通讯、微波通信、光网络通讯、蓝牙、移动终端、物联网、工业控制、及安防行业都取得一定的市场占有率。
晶友嘉是晶振生产供应一体化工厂,满足您的所有晶振产品需求,电话:0755-32840201,欢迎来厂莅临指导。
