【晶振】晶振起振时间计算方式
发布日期:2019-12-24
点击次数:1618
在前面发表的文章中,我们已经讨论过晶振参数:负载电容 CL,动态电感Lm和动态 Cm 。我们接着往下分析。假设你要选择在2个32MHz的晶振中选一个,一个CL=10pF 另一个CL=16pF,其他参数一样。根据 SimpleLink? Bluetooth low energy CC2540 (可以从这个链接中看到具体内容http://www.ti.com/product/cc2540?DCMP=blog-frequency3&HQS=blog-frequency3-lp1)的说明,这两个晶振它都支持,那你会选择哪个?当然,要视情况而定。
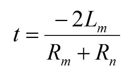
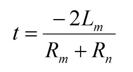
晶振起振时间大概是7-15t,t由如下公式计算:
.jpg)
Lm 、 Rm 分别是动态电感和电阻参数, Rn 振荡器的负电阻。

参数gm 是振荡器的跨导, f 晶体的共振频率,CL 是负载电容。
从这个等式中可以很容易看出CL 越小,起振时间越快。如果你有一个周期循环应用(a duty-cycled application),因为你的系统花费更多的时间在睡眠模式或者发送接收等待参考时钟开启的时间短,,也许你可以节省你的电源。同时,低的负载电容意味着振荡器的负电阻高,那么振荡器可以维持在低功耗下。有这些电源方面的优势,为什么不选择一个高的负载电容的晶振?答案就是频率的稳定性。空载振荡频率fs如下:

振荡器频率飘移是其负载电容的函数:

这样你可以看出,如果寄生电容改变,就是公式中的Co,如果CL 很大,那么频率变化的就不会很大。但如果使用低的CL晶体管,寄生电容笑的改变不会引起频率的大变动。总之,晶振负载电容的选择需要好好权衡电源消耗和频率稳定。
深圳市晶友嘉电子有限公司在频率器件行业已发展超过14年, 具备国际标准体系ISO9001、ISO14001等认证, 在深圳建有生产基地,能快速化响应市场需求,供应性能稳定和高性价比的贴片和插件晶振;
贴片晶振产品广泛的应用在电源管理、仪器仪表、PC及周边小家电、通讯产品、逻辑电路、应用于DVB (数字机顶盒)、GPS(卫星定位)、DVD及数码相框、高性能MODEM、路由器、VPN接入服务器、无线路由器、网络存储设备(NAS)、VOIP网关、数字硬盘录像机(Digital video recorder, DVR)、DSLAMs、高端打印机、教学演示网络设备、交换机、机顶盒、税控机、液晶显示驱动、鼠标、键盘、蓝牙音响、车载MP3、LCD控制板。
应用领域:新能源汽车电子、智能机器人、无人机、医疗电子、2.4G无线通讯、微波通信、光网络通讯、蓝牙、移动终端、物联网、工业控制、及安防行业都取得一定的市场占有率。
晶友嘉是晶振生产供应一体化工厂,满足您的所有晶振产品需求,电话:0755-32840201,欢迎来厂莅临指导。
贴片晶振产品广泛的应用在电源管理、仪器仪表、PC及周边小家电、通讯产品、逻辑电路、应用于DVB (数字机顶盒)、GPS(卫星定位)、DVD及数码相框、高性能MODEM、路由器、VPN接入服务器、无线路由器、网络存储设备(NAS)、VOIP网关、数字硬盘录像机(Digital video recorder, DVR)、DSLAMs、高端打印机、教学演示网络设备、交换机、机顶盒、税控机、液晶显示驱动、鼠标、键盘、蓝牙音响、车载MP3、LCD控制板。
应用领域:新能源汽车电子、智能机器人、无人机、医疗电子、2.4G无线通讯、微波通信、光网络通讯、蓝牙、移动终端、物联网、工业控制、及安防行业都取得一定的市场占有率。
晶友嘉是晶振生产供应一体化工厂,满足您的所有晶振产品需求,电话:0755-32840201,欢迎来厂莅临指导。
